
Vortrag Prof. Dr. Braun für HFG-Schüler
Der ehemalige HFG-Schüler und jetzige Informatikprofessor Dr.Torsten Braun hielt vor einer Schülergruppe im Physiksaal des Hans-Furler-Gymansiums einen Vortrag über "Drahtlose Internet-Kommunikation". Dabei wurden den Schülern Begriffe wie z B. Diskrete Cosinus Transformationen, Lauflängencodierung, Zig-Zag-Verfahren, Huffman-Codierung nähergebracht. Am Ende einer jeder Einheit mussten die Schülern jeweils eine Aufgabe lösen.
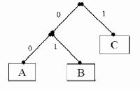
Beispiel: Huffman-Koodierung
Die Idee des Verfahren beruht auf einem einfachen Prinzip: Statt jedem Wort einen gleichlangen Code zuzuordnen (beispielweise 8 Bit im Falle von ASCII), bekommen Zeichen, die häufig im Text vorkommen einen kürzeren Code als seltene Zeichen. Der Huffman-Algorithmus generiert einen solchen - sogar bezüglich der Codewortlänge optimalen - Code. Als Hilfsmittel verwendet das Huffman-Verfahren Codebäume, mit denen sich Codewörter grafisch als Baum darstellen lassen. Den Code eines Zeichens liest man aus dem Codebaum ab, indem man von oben - der so genannten Wurzel - ausgehend im Baum bis zum gesuchten Zeichen am Ende des Baumes wandert und die dabei gefundenen Beschriftungen an den Verzweigungen notiert (siehe Bild unten).
Die Aufgabe lautete : Komprimiere das Wort : Swissmiss. Wie viele bits benötigt die Komprimierung ? Die Schüler hatten somit die Möglichkeit, ihr eben gelerntes Wissen direkt umzusetzen.
Nach dem 2-stündigen Vortrag dankte sein ehemaliger Mathematiklehrer Herr Neulinger unter dem Beifall der Schüler Herrn Prof. Dr. Torsten Braun für seine schülernahen Ausführungen mit dem Wunsch Herrn Braun bei einer anderen Gelegenheit wieder zu hören.
Text: W. Neulinger/Foto: Archiv HFG

Zugehöriger Code:
A=00
B=01
C=1
Quelle: www.ziegenbalg.ph-karlsruhe.de/materialien-homepage-jzbg/cc-interaktiv/huffman/index.htm